Home O anténách       Kontakt

      
 
  Základy o tom, jak dělat se Smithovým diagramem

Všeobecně
 
Abych byl upřímný, tento článek se mi moc psát nechtělo, protože problematika kruhového diagramu vedení (Smithova diagramu) byla mnohokrát popsána a publikována. Na Internetu je dost článků a příkladů řešení. Byl jsem ukecán několika skupinami hamů, abych napsal ten nejjednodušší popis. Jednak těmi, kteří si nadělili pod stromeček anténní analyzátor, ale také těmi začínajícími, kteří chtěli, abych jim vysvětlil základní pojmy (VSWR, Return loss, ...), které na stránkách o krátkovlnných anténách používám a abych ukázal, jak se ve Smithově diagramu řeší nejjednodušší případy přizpůsobování. Snažím se vyhovět a v tomto článečku píši opravdu jen ty nejjednodušší základy a vyhýbám se např. grafickému řešení širokopásmového přizpůsobování, přizpůsobování vstupních obvodů zesilovačů, atd.

Věřte mi, že práce ve Smithově diagramu je jednoduchou, přehlednou a rychlou metodou řešení úloh na přizpůsobování.
 

Vysvětlení základních pojmů

  
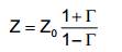
Impedance Z= R + jX, kde R je Resistance a X je Reactance

Označíme-li Zo jako referenční impedanci, pak platí:

Admittance Y=G+jB, kde G je Conductance a B je Susceptance. Platí, že Z=1/Y a Y=1/Z

Reflection coefficient (koeficient odrazu) je:

  

nebo také

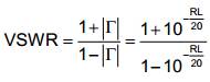
Poměr stojatých vln (Voltage Standing Wave Ratio, VSWR, ...) je definován takto:

pro Z menší než Zo můžeme napsat, že VSWR = |Zo| / |Z| a pro Z větší než Zo platí: VSWR = |Z| / |Zo|

Často používaný pojem Return loss je definovaný vztahem:

Snad s těmito pojmy, které používají softvéry analyzátorů, vystačíme. Uvedené veličiny zobrazují softvéry pro práci ve Smithově diagramu obvykle nějak vztažené k pozici kurzoru (nebo v nějakém okně či panelu Cursor ...)
 

Příklad 1

Vyřešte přizpůsobení dipólu o délce 40m, který jsme natáhli v kempu ve výšce pouhých 5 metrů nad zemí. Použijte jednoduchý LC článek typu dolní propust. Kmitočet je 3 670 kHz a dipól má impedanci R=12,7 a jX=8,5 Ohmů. V dalších příkladech budu psát resistanci a reactanci zkráceně takto (12,7+j8,5).

Řešení:

Všimněte si, že použitý LC článek takový dipól v pohodě naladí, ale musí mít možnost nastavit indukčnost kolem 500 nanoH a kapacitu 1500 pF. Umí to váš LC článek?

Příklad 2

Jak transformuje impedanci dipólu z předchozího příkladu napájecí žebříček PCV-570-84,který má délku 10m  a  Zo=570 Ohmů. Zakreslete do Smithova diagramu a stanovte impedanci na svorkách žebříčku.

Řešení:

U tohoto příkladu uvedu ještě datové body (impedance v jednotlivých bodech transformace). Výsledek: impedance v datovém bodě TP2 (na konci žebříčku) je (25,5+j572) Ohmů.

Příklad 3

Poblíž kempu s nízko se plazícím dipólem je středovlnný vysílač. Navrhněte přizpůsobení typu horní propust s jednoduchým LC článkem.

Řešení:

Příklad 4

Skládaný dipól, který má impedanci 235 Ohmů v rezonanci (rezonance je, když jX=0)  přizpůsobte pomocí paralelního obvodu s kapacitním děličem na impedanci Zo=50 Ohmů. Kmitočet je 3 773 kHz.

Příklad řešení:

Příklad 5

Dipól z předchozího příkladu přizpůsobte pomocí jednoduchého LC článku.

Řešení:

Příklad 6

Přizpůsobte plážový vertikál (kmitočet 7 035 kHz) s impedancí (38-j40) ke koaxiálu Zo=50 Ohm. Pro přizpůsobení použijte koaxiál a jednu reaktanci. Do Smithova diagramu zakreslete kružnici s VSWR=2,5.

Řešení:

Poznámka: Vertikál by se sice dal "vyladit" do resonance, ale komu by se na slunci chtělo, že? Kolem středu je zakreslena kružnice s VSWR=2,5. To už je také humus, že? Právě takové VSWR má ten vertikál na pláži ve slané vodě. Pod slunečník se však s krátkým koaxem dostaneme a jediným paralelním kondenzátorem vyladíme VSWR=1. Koaxiál musí mít elektrickou délku 9,6 metru (mechanickou např. 6,4metru).

Příklad 7 a 8

Přizpůsobte nízko položenou anténu pro kmitočet 3 773 kHz nejprve horní a potom dolní propustí se třemi a více reaktancemi tak, abyste nepřekročili pro maximální šířku pásma a z důvodů nízkých ztrát Qmax = X/R = 0,6. Impedance antény je (20-j12). Ve Smithově diagramu zobrazte kružnici s Q.

Řešení 1 (horní propust):

Řešení 2 (dolní propust):

Příklad 9

Z věže rozhledny jsme si natáhli dipól pro 3 550 kHz. Na tomto kmitočtu jedeme digitálními druhy provozu. VSWR je asi 1.25 a impedance je (62+j1,7) a proto s anténou nic neděláme. Potřebujeme však pracovat SSB na kmitočtu 3 773 kHz. Tam je VSWR= 5,3 a impedance (74+110). Ke koncům dipólu se nedostaneme a také se nám ho nechce stříhat. Lze to přizpůsobit transformátorem a jedinou paralelní kapacitou?

Řešení  (transformátor a reaktance):

Poznámka: všimněte si,že transformační poměr není žádných p=50/74=1:0.67, ale 1:0.44,hi ....

Příklad 10

Nešel by ten dipól vyřešit nějak jinak? Např. jen s koaxiálem 50 Ohmů a jednou reaktancí, nejlépe paralelním kondenzátorem?

Řešení:

Poznámka: Náš dipól na rozhledně lze napájet kabelem 50 Ohm o elektrické délce 29 metrů. Dipól na kmitočtu pro SSB přizpůsobíme paralelním kondenzátorem 1 600 pF.

Příklad 11

Jaké bude nepřizpůsobení (VSWR), když dipól z předchozích dvou případů budeme napájet koaxiálem o elektrické délce 29 metrů a Zo=50 Ohmů. Nakreslete takový případ do Smithova diagramu a namalujte kružnici s VSWR.

Řešení:

Poznámka: Jak jste asi předpokládali, dipól měl na svorkách VSWR=1,25  Po připojení koaxiálu s impedancí Zo=50 Ohmů a o délce 29m (elektrická délka) se impedance dipólu (62+j1.7) přetransformovala na (44+j8.3) - viz asi tříčtvrtinový oblouk tlusté čáry. Tenká kružnice kolem středu je VSWR=1.25. Všimněte si, že ten dipól bude mít přibližně stejné VSWR, a to bez ohledu na délku toho koaxiálu.

Příklad 12

Dipól z příkladu 9 jste se rozhodli napájet žebříčkem PCV-570-84. Žebříček má charakteristickou impedanci Zo=570 Ohmů. Vaše anténa se tedy stala anténou Double Zeppelin, která pracuje na kmitočtu "fundamental". Použili jste elektrickou délku žebříčku LL=0.25xlambda, tj. délka žebříčku je asi 20.1 metru. Zakreslete použitý napáječ do Smithova diagramu. Navrhněte jednoduchý LC článek pro přizpůsobení na obou kmitočtech a zdůvodněte, proč nedoporučuji nikomu dát za tuto anténu balun, napájet ji koaxiálem Zo=50 Ohmů a tuner mít až v hamovně.

Řešení, kmitočet 3 773 kHz:

Ještě uvedu tabulku s datovými body transformace:

Z tabulky vidíme, že žebříček délky asi 0,25 lambda nám transformuje na vysokou impedanci bodu TP3 (1368-j2034). O tom jste asi slyšeli, že Double Zeppelinka má vysokou impedanci... Paralelní kondenzátor o přiměřené kapacitě 76 pF nám ztransformuje impedanci do TP4 (50-j466) a roller pak do bodu TP5 kde je rezistance 50 Ohmů a reactance přibližně nulová, konkrétně (50-j0,7).

Řešení, kmitočet 3550 kHz:

Vidíte, že tuner transformuje podobně, jako v předchozím případě. Na kmitočtu 3 550 kHz má tato anténa v bodě TP2 zase vysokou impedanci (3647+j2390). Všimněte si, že na  kmitočtu 3 773 byla záporná, ale tady je kladná. Nicméně, ladí se stejným typem LC článku. Plyne z toho, že zapomeneme na průchod zdí kabelem, ale ladit budeme externím tunerem. Velice snadno.

Poznámka: Nebylo mým úmyslem skončit u antény Double Zeppelin. Ta anténa je dobrá, ale vyžaduje své. Proto kolem ní slyším hodně mýtů. Někdo ji vychvaluje, protože je na vyšších kmitočtech zisková. Ale my zisk umíme dělat i u jiných antén, mnohem menších. A umíme dělat také vyzařovací diagram. Že by nám učarovalo snadné přizpůsobení? Všimněte si, že v obou případech je kapacita tuneru nízká. Jednou to bylo 76pF a podruhé 94 pF. To jde realizovat i pro vysoké napětí. Všimněte si, že indukčnost rolleru je větší než 20 mikroHenry. Takový roller není ani v ATR-30, viz příklady zde, existují však nádherné symetrické tunery se dvěma rollery, ale stojí dost peněz. A abychom využili skvělých vlastností Double Zeppelinu, museli bychom ten tuner dát ven. Musím však říci, že ladění na takovém tuneru je přesné a jemné, je to parádička.

Závěr

Na dvanácti příkladech, které jsem tady popsal během chviličky (dopoledne dne 25.12.2012) jsem provedl toto:

- našel data, tj. hodnoty impedancí k příkladům
- zvolil 12 jednoduchých příkladů, na kterých jsem chtěl demonstrovat základní práci se Smithovým diagramem
- vyřešil všech 12 úloh
- vykopíroval a upravil všechny obrázky a schémata
- napsal tuhle stránku

Mým cílem bylo, abych vám ukázal, že Smithův diagram byl vymyšlen snad někdy před druhou světovou válkou, aby ulehčil práci, která patří mezi jednoduché inženýrské metody. I když existují i jiné diagramy, tak Smithův je nejrozšířenější. Viděli jste, že pochopení základních principů kolem přizpůsobování, práce se Smithovým diagramem a návrh přizpůsobení je tak jednoduché, že by si na to každý HAM mohl najít jeden nebo dva večery. Měl by pak určitě jasno a uměl by plně využít svého analyzátoru.

Tuto stránku jsem věnoval svému příteli Vojtovi, ok1dcx, kterému je přes 70 let a učí mladé chlapce počítat. Také jsem tuto stránku věnoval panu profesoru Fritzi Dellspergerovi, hb9ajy z Bern University of Applied Sciences, který učí studenty dělat se Smithovým diagramem v moderním pojetí a je  mimo jiné spoluautorem softvéru na řešení úloh ve Smithově diagramu.

73's Míra, ok1ufc


© 2011 - Věra Šídlová a Míra Šídlo, ok1ufc, datum poslední úpravy: 21.12.2014